Se Considera Functia F X 2x 1 Sa Se Determine Punctul

Se Considera Functia F R R F X 2x 1 Sa Se Determine Punctul Care Aparține Graficului Funcției F Si Brainly Ro

Se Considera Functia F R R F X 2x 1 Sa Se Determine Punctul Care Aparține Graficului Funcției F Si Brainly Ro

Cl A Viii A Funcții 1 Un Punct Apartine Graficului Unei Functii Youtube

Cl A Viii A Funcții 1 Un Punct Apartine Graficului Unei Functii Youtube

F R Gt R F X Mx N Unde M Si N Sunt Numere Reale A Determinati M Si N M Stiind Ca Brainly Ro

F R Gt R F X Mx N Unde M Si N Sunt Numere Reale A Determinati M Si N M Stiind Ca Brainly Ro

Se Considera Functia F X 3 2 Fie Xoy Un Sistem De Coordonate Si Punctele A 2 0 Si B 0 4 A Aratati Brainly Ro

Se Considera Functia F X 3 2 Fie Xoy Un Sistem De Coordonate Si Punctele A 2 0 Si B 0 4 A Aratati Brainly Ro

Se Considera Functia F X 2x 1 Determinati Functia G R Gt R G X Ax B Stiind Ca Graficele Brainly Ro

Se Considera Functia F X 2x 1 Determinati Functia G R Gt R G X Ax B Stiind Ca Graficele Brainly Ro

Se Considera Functia F X 2x 1 Determinati Functia G R Gt R G X Ax B Stiind Ca Graficele Brainly Ro

Cl A Viii A Funcții 6 Punctul De Interesectie A Doua Grafice De Functii Youtube

Cl A Viii A Funcții 6 Punctul De Interesectie A Doua Grafice De Functii Youtube

Se Considera Funcția F R Gt R F X Mx Nunde M N Sunt Numere Reale A Determinati M și Brainly Ro

Se Considera Funcția F R Gt R F X Mx Nunde M N Sunt Numere Reale A Determinati M și Brainly Ro

1 Se Considera Functia F R Gt R F X 2x 5 A Reprezentati Grafic Functia F Doar Coordonatele Brainly Ro

1 Se Considera Functia F R Gt R F X 2x 5 A Reprezentati Grafic Functia F Doar Coordonatele Brainly Ro

Se Considera Functiile F G R Gt R F X 3 2x Si G X X 6 A Determinati Coordonatele Punctului De Brainly Ro

Se Considera Functiile F G R Gt R F X 3 2x Si G X X 6 A Determinati Coordonatele Punctului De Brainly Ro

Http Etc Upt Ro Uploads 2018 03 Subiecte Admitere Pdf

Http Etc Upt Ro Uploads 2018 03 Subiecte Admitere Pdf

Se Considera Functia F R Rezulta R F X 2x 4 A Reprezentati Grafic Functia F Intr Un Sistem De Brainly Ro

Se Considera Functia F R Rezulta R F X 2x 4 A Reprezentati Grafic Functia F Intr Un Sistem De Brainly Ro

Se Considera Functia F R R F X X 6 A Determinati Numerele Reale A Si B Stiind Ca Punctele A 0 A Si Brainly Ro

Se Considera Functia F R R F X X 6 A Determinati Numerele Reale A Si B Stiind Ca Punctele A 0 A Si Brainly Ro

Se Considera Funcția F R Gt R Unde F X 3x 9 A Reprezentați Grafic Funcția F Intr Un Sistem De Brainly Ro

Se Considera Funcția F R Gt R Unde F X 3x 9 A Reprezentați Grafic Funcția F Intr Un Sistem De Brainly Ro

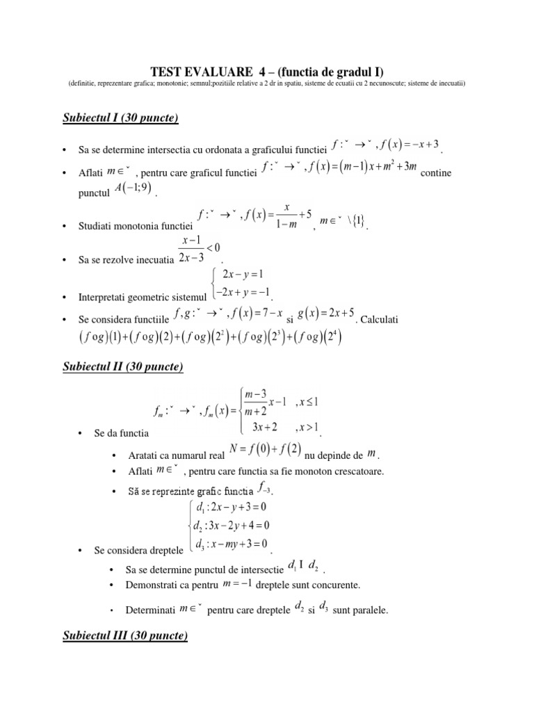
Subiectul I 30 Puncte Test Evaluare 4 Functia De Gradul I

Subiectul I 30 Puncte Test Evaluare 4 Functia De Gradul I

Se Considera Functia F R R F X 2x 4 A Reprezentati Grafic Functia F Intr Un Sistem De Coordonate Brainly Ro

Se Considera Functia F R R F X 2x 4 A Reprezentati Grafic Functia F Intr Un Sistem De Coordonate Brainly Ro

Fie Funcția F R Gt R F X 2x 1a Reprezentați Grafic Funcția Data B Determinați A Aparține Brainly Ro

Fie Funcția F R Gt R F X 2x 1a Reprezentați Grafic Funcția Data B Determinați A Aparține Brainly Ro

Se Considera Functia F R Gt R F X 4 2x A Reprezentati Grafic Functia F Intr Un Sistem De Coordonate Brainly Ro

Se Considera Functia F R Gt R F X 4 2x A Reprezentati Grafic Functia F Intr Un Sistem De Coordonate Brainly Ro

Se Considera Functia F R R F X 2x M Unde M Este Un Parametru Real Se Stie Ca P 1 2 Brainly Ro

Se Considera Functia F R R F X 2x M Unde M Este Un Parametru Real Se Stie Ca P 1 2 Brainly Ro

Se Consideră Funcția F R R F X A 2 X 5 A R A știind Că Punctul P 3 2 Se Află Pe Graficul Brainly Ro

Se Consideră Funcția F R R F X A 2 X 5 A R A știind Că Punctul P 3 2 Se Află Pe Graficul Brainly Ro

Se Considera Functia H R R H X X 2 Ax B X Determinati A B Astfel Incat Graficul Functiei H Sa Brainly Ro

Se Considera Functia H R R H X X 2 Ax B X Determinati A B Astfel Incat Graficul Functiei H Sa Brainly Ro

Determinati Numarul Real M Stiind Ca Punctul M 2 M Apartine Graficului Functiei F R Gt R Brainly Ro

Determinati Numarul Real M Stiind Ca Punctul M 2 M Apartine Graficului Functiei F R Gt R Brainly Ro

Asimptota Verticala Forma Exemplu Youtube

Asimptota Verticala Forma Exemplu Youtube

Matematica Online Exercițiu Cu Funcții Problemă Dată La Examenul De Evaluare Națională Iunie 2019

Matematica Online Exercițiu Cu Funcții Problemă Dată La Examenul De Evaluare Națională Iunie 2019

Se Considera Funcția F R R F X 2m 1 X 3 M Unde M Apartine R Determinați Valoarea Nr M știind Că Brainly Ro

Se Considera Funcția F R R F X 2m 1 X 3 M Unde M Apartine R Determinați Valoarea Nr M știind Că Brainly Ro

4 Se Consideră Functia F R Gt R F X 5 3x A Reprezentați Grafic Functia Brainly Ro

4 Se Consideră Functia F R Gt R F X 5 3x A Reprezentați Grafic Functia Brainly Ro

Consideram Functiile F G R R F X 4 X G X 2x 5 Determinati Coordonatele Punctului De Intersectie Brainly Ro

Consideram Functiile F G R R F X 4 X G X 2x 5 Determinati Coordonatele Punctului De Intersectie Brainly Ro

Functia F R Gt R F X 2x 5 A Aflati Zeroul Functiei F B Stabiliti Coeficientul Unghiular Panta Al Brainly Ro

Functia F R Gt R F X 2x 5 A Aflati Zeroul Functiei F B Stabiliti Coeficientul Unghiular Panta Al Brainly Ro

Se Considera Functia F R Gt R F X X 1 A Determinati M Apartine R Stiind Ca Punctul P Brainly Ro

Se Considera Functia F R Gt R F X X 1 A Determinati M Apartine R Stiind Ca Punctul P Brainly Ro

Se Considera Functia F R R F X Ax 5 Si G R R G X X B A Determinati Numerele Reale A Si B Stiind Brainly Ro

Se Considera Functia F R R F X Ax 5 Si G R R G X X B A Determinati Numerele Reale A Si B Stiind Brainly Ro

Source : pinterest.com