Sa Se Logaritmeze Expresiile

Sa Se Logaritmeze Expresia Din Imaginea De Mai Jos In Baza 10 Multumesc Anticipat Punctul D Brainly Ro

Sa Se Logaritmeze Expresia Din Imaginea De Mai Jos In Baza 10 Multumesc Anticipat Punctul D Brainly Ro

Să Se Logaritmeze In Baza 5 Expresia Brainly Ro

Să Se Logaritmeze In Baza 5 Expresia Brainly Ro

Penny Dreadful Tumblr Penny Dreadful Penny Dreadful Tv Series Penny Dreadfull

Penny Dreadful Tumblr Penny Dreadful Penny Dreadful Tv Series Penny Dreadfull

Sa Se Arate Ca Expresiile Urmatoare Nu Depind De X Brainly Ro

Sa Se Arate Ca Expresiile Urmatoare Nu Depind De X Brainly Ro

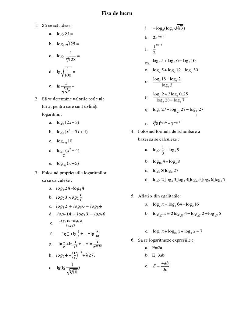
Fisa De Lucru Logaritmi

Fisa De Lucru Logaritmi

Cup Of Tea Mobile Wallpaper Tea Tea Cups Tea Wallpaper

Cup Of Tea Mobile Wallpaper Tea Tea Cups Tea Wallpaper

Cup Of Tea Mobile Wallpaper Tea Tea Cups Tea Wallpaper

Va Rog Frumos Sa Ma Ajutați La E7 A B D E 1 A 3 A B Sunt Foarte Urgente Brainly Ro

Va Rog Frumos Sa Ma Ajutați La E7 A B D E 1 A 3 A B Sunt Foarte Urgente Brainly Ro

Matematica Online Bac Logaritmarea Unor Expresii Youtube

Matematica Online Bac Logaritmarea Unor Expresii Youtube

Calculati A 6 La Puterea Minus10 Supra 81 La Minus2 X 32 La Minus2 Brainly Ro

Calculati A 6 La Puterea Minus10 Supra 81 La Minus2 X 32 La Minus2 Brainly Ro

Va Rog Frumos Sa Ma Ajutati La E4 Subpunctele A B D E F I Este Foarte Important Brainly Ro

Va Rog Frumos Sa Ma Ajutati La E4 Subpunctele A B D E F I Este Foarte Important Brainly Ro

Matematica Burtea Ax A

Matematica Burtea Ax A

Tatuajele Cu Citat Tatuaje Prin Care Poti Exprima Clar O Idee

Tatuajele Cu Citat Tatuaje Prin Care Poti Exprima Clar O Idee

Doc Cul Mate Vol1 2 Ariel Alexa Academia Edu

Doc Cul Mate Vol1 2 Ariel Alexa Academia Edu

Calameo 131801045 86083448 Culegere Mate Formule

Calameo 131801045 86083448 Culegere Mate Formule

Evitarea Injurăturilor Cu Carne In Postul Paștelui Humor Funny Carne

Evitarea Injurăturilor Cu Carne In Postul Paștelui Humor Funny Carne

Dictionar De Termeni Si Expresii Juridice Latine Editia 2 Lockscreen Lockscreen Screenshot

Dictionar De Termeni Si Expresii Juridice Latine Editia 2 Lockscreen Lockscreen Screenshot

Pdf Selectie Sinteze Matematice Algebra Geometrie Analiza Matematica Elis Achim Academia Edu

Pdf Selectie Sinteze Matematice Algebra Geometrie Analiza Matematica Elis Achim Academia Edu

Imagini Pentru Lunile Anului Imagini Montessori Activities Diy Classroom Decorations Kindergarden

Imagini Pentru Lunile Anului Imagini Montessori Activities Diy Classroom Decorations Kindergarden

Ecuatii Si Inecuatii Logaritmice

Ecuatii Si Inecuatii Logaritmice

Pin De Yelitza En Baby Actividades Para Ninos Pequenos Manualidades Para Ninos Actividades Para Ninos

Pin De Yelitza En Baby Actividades Para Ninos Pequenos Manualidades Para Ninos Actividades Para Ninos

Https Www Google Co Uk Search Q Naturally 20curly 20lob Client Safari Hl En Gb Prmd Isvn Sour Short Curly Hair Medium Hair Styles Curly Hair Styles Naturally

Https Www Google Co Uk Search Q Naturally 20curly 20lob Client Safari Hl En Gb Prmd Isvn Sour Short Curly Hair Medium Hair Styles Curly Hair Styles Naturally

Dezvoltare Emotionala Prescolari Suntparinte Ro In 2020 Kids Education Kids And Parenting Learning Process

Dezvoltare Emotionala Prescolari Suntparinte Ro In 2020 Kids Education Kids And Parenting Learning Process

Aplicatii Ale Numerelor Complexe In Geometrie

Aplicatii Ale Numerelor Complexe In Geometrie

Fișă De Lectură Ce Am Citit In Vacanța De Vară O Fișă De Lectură In Format Editabil Pentru Lecțiile De Comunicare I School Reading Teaching Grammar Education

Fișă De Lectură Ce Am Citit In Vacanța De Vară O Fișă De Lectură In Format Editabil Pentru Lecțiile De Comunicare I School Reading Teaching Grammar Education

Pin Von Gaby Spieltundbastelthier Auf Nachmittag Freitag Nachmittags Grusse Bilder

Pin Von Gaby Spieltundbastelthier Auf Nachmittag Freitag Nachmittags Grusse Bilder

Logaritmarea Unei Expresii Exercitii Rezolvate Lic Logaritm4 Youtube

Logaritmarea Unei Expresii Exercitii Rezolvate Lic Logaritm4 Youtube

Pin Von Heinrich Thoben Auf Guten Abend Schonen Abend Grusse Schonen Abend Bilder Schonen Abend

Pin Von Heinrich Thoben Auf Guten Abend Schonen Abend Grusse Schonen Abend Bilder Schonen Abend

Pin On Tricouri Personalizate

Pin On Tricouri Personalizate

Penny Dreadful Billie Piper As Brona Croft Josh Hartnett As Ethan Chandler Series Y Peliculas Series De Tv Cine

Penny Dreadful Billie Piper As Brona Croft Josh Hartnett As Ethan Chandler Series Y Peliculas Series De Tv Cine

Source : pinterest.com